芯片結溫分析,芯片結溫計算、公式-KIA MOS管
信息來源:本站 日期:2023-11-03
芯片結溫(Tj):
結溫(Junction Temperature)是芯片中開關MOS管等器件的實際工作溫度。芯片內部是由于一堆材料做成的各種微小的元器件,有微小的MOS,二極管,集成電阻,電容等等,它們在經過電流時,也會發熱,尤其在一些過大電流的功率芯片的應用中,結溫就成了一個必須考慮的參數,超過了就會使這些內部元器件損壞,由于這些內部的結構器件距離芯片外部還有封裝隔離,因此它通常高于外殼溫度(Case Temperature)高。也就是會高于芯片標定的工作溫度。
結溫產生機制
結溫主要產生在PN結區域。
從PN結制造工藝上,核心原理是根據雜質補償,通過摻雜獲得,如下圖, P-type 摻雜和 N-type 摻雜接觸后,中間形成一個耗盡區(或者稱為空間電荷區,如下圖右上);兩個的交接線周圍形成一個PN結(如下圖左上)。
首先,電子空穴的復合也是一個發熱是結溫的主要熱源;復合遵循能量守恒原則,電子和空穴復合時應釋放一定的能量,最后在內部都轉換為熱能。
復合頻率越高產生熱越高,隨之會加速載流子速率μ,電場E相對不變,復合率和結溫形成閉合正反饋,導致結溫持續升高。
其次,PN結的工藝也不可能極端完美,電子/空穴的的注入效率達不到100%, 即在工作時除P區向N區注入電荷(Hole)外,N區也會向P區注入電荷(Electron);同樣也會導致結溫升高。
最后,器件兩端的陰極Cathode,陰極Athode 2個的歐姆接觸(ohmic contact)會產生熱量,兩端形成熱屏障,阻礙內部的熱量更難及時通過熱傳導方式消散,同樣會導致內部結溫升高。
所以如果希望保證器件工作正常,務必保證芯片結溫在可承受范圍內。
熱阻參數介紹
RθJA 值越大,表示此 封裝的散熱效率越低,而值越小,表示器件散熱效率越高。 封裝尺寸越小,RθJA 值通常越大。如上圖DCK(SCK70)熱阻307.6°C/W,意味著芯片每消耗1W,芯片溫度就會升高 307.6°C 。
表中建議的芯片工作結溫介于 -55°C 至 150°C 之間。
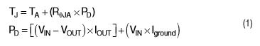
結溫計算公式:
其中 TJ 為結溫,TA 為環境溫度,RθJA 為熱阻(取自數據表),PD 為功耗,Iground 為接地電流(取自數據表)。
下面給出一個簡單示例,使用 TPS732 將 5.5V 電壓下調至 3V,輸出電流為 250mA,采用 SOT-23 和 SOT-223 兩種封裝。
PD=[(5.5V-3V) x 250mA] + (5.5V x 0.95mA) = 0.63W
SOT - 23: TJ = 25°C + (205.9°C/W x 0.63W) = 154.72°C
SOT - 223: TJ = 25°C + (53.1°C/W x 0.63W) = 58.45°C
聯系方式:鄒先生
聯系電話:0755-83888366-8022
手機:18123972950
QQ:2880195519
聯系地址:深圳市福田區金田路3037號金中環國際商務大廈2109
請搜微信公眾號:“KIA半導體”或掃一掃下圖“關注”官方微信公眾號
請“關注”官方微信公眾號:提供 MOS管 技術幫助
免責聲明:本網站部分文章或圖片來源其它出處,如有侵權,請聯系刪除。
