MOS管靜態功耗圖文解析(計算教程)-KIA MOS管
信息來源:本站 日期:2021-06-01
如下圖所示的NMOS反相器,現在要計算其靜態功耗。
當輸入信號為高電平時,NMOS閉合,但是又不是一個理想的開關,所以有開關電阻RON。
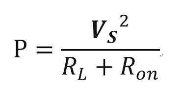
所以,當輸入為高電平時,靜態功耗為下圖所示:
當輸入為低電平時,此時NMOS是理想的斷開,此時電路如下圖所示。
由于電路中沒有電流,所以功耗為0。
所以對于本有NMOS構成的反相器而言,靜態功耗為:
當忽略掉該直流導通電阻RON時,則靜態功耗為:
如何理解mosfet靜態功耗低,三極管功耗為什么又比mos管功耗高,速度比mos管慢?
功耗是因為三極管做開關時,要一個Ib維持。而mos管是壓控device,基本上不消耗電流。
速度是因為,mos管壓控時,得等大gate上電荷積累到vth后,電路才導通;而三極管是電流控制,導通時間比mos管的小的多。
聯系方式:鄒先生
聯系電話:0755-83888366-8022
手機:18123972950
QQ:2880195519
聯系地址:深圳市福田區車公廟天安數碼城天吉大廈CD座5C1
請搜微信公眾號:“KIA半導體”或掃一掃下圖“關注”官方微信公眾號
請“關注”官方微信公眾號:提供 MOS管 技術幫助

