亞閾值電流及亞閾值擺幅/閾值電壓-KIA MOS管
信息來源:本站 日期:2021-04-14
亞閾值電流是在MOS管理想的電流-電壓特性中,當Vgs小于 Vt 時,漏極電流 Id 為0。
亞閾值電流,或稱亞閾值漏電流(英語:subthreshold leakage),是金屬氧化物半導體場效應管柵極電壓低于晶體管線性導通所需的閾值電壓、處于截止區(或稱亞閾值狀態)時,源極和漏極之間的微量漏電流。
定義
在MOS管理想的電流-電壓特性中,當Vgs小于 Vt 時,漏極電流 Id 為0。而實際情況是,當Vg<Vt 時,MOS晶體管處于表面弱反型狀態(與開啟時的強反型有區別),這個區域叫做亞閾值區。
MOS管工作在亞閾值區時,溝道中雖然存在反型載流子,但濃度較低,因而此時 Id 很小,但不為0,此電流稱為亞閾值電流。
亞閾值擺幅
亞閾值擺幅(Subthreshold swing), 又稱為 S因子。這是MOSFET在亞閾狀態工作時、用作為邏輯開關時的一個重要參數,它定義為:
S = dVgs / d(log10 Id),單位是[mV/dec]。S在數值上就等于為使漏極電流Id變化一個數量級時所需要的柵極電壓增量ΔVgs,注意S是從Vg-Id曲線上的最大斜率處提取出來的。表示著Id~Vgs關系曲線的上升率。
S值與器件結構和溫度等有關:襯底反向偏壓將使表面耗盡層電容CD減小,則S值減小;界面陷阱的存在將增加一個與CD并聯的陷阱容,使S值增大;溫度升高時,S值也將增大。
為了提高MOSFET的亞閾區工作速度,就要求S值越小越好,為此應當對MOSFET加上一定的襯偏電壓和減小界面陷阱。
室溫條件下(T=300k),MOS型器件 S的理論最小值為log(10)*KT/q=59.6mV/dec≈60 mV/dec,但一些新型器件,如隧穿器件(TunnelingTransistor),可以獲得低于此理論值的亞閾值擺幅。
在大規模數字集成電路的縮小規則中, 恒定電壓縮小規則、 恒定電場縮小規則等都不能減小S值,所以這些縮小規則都不適用,只有采用半經驗的恒定亞閾特性縮小規則才比較合理。
閾值電壓
閾值電壓(英語:Threshold voltage),又稱閾電壓或開啟電壓,通常指的是在TTL或MOSFET的傳輸特性曲線(輸出電壓與輸入電壓關系圖線)中,在轉折區中點所對應的輸入電壓的值。
當器件由空乏向反轉轉變時,要經歷一個Si表面電子濃度等于電洞濃度的狀態。此時器件處于臨界導通狀態,器件的閘極電壓定義為閾值電壓,它是MOSFET的重要參數之一。
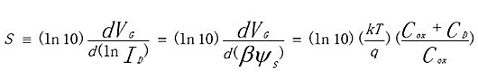
亞閾值擺幅公式
其中 φs為表面電勢,ID為漏電流,第一項 m 表示 VGS對表面電勢 φs的調控能力,m越小,柵對溝道的調控能力越強,反之,越弱,m 取決于柵結構及介質材料。第二項n 表示電流 ID提升一個數量級所需要的表面電勢變化量,其大小取決于電流導電機制。
壓閾值擺幅 SS 定義為電流變化一個數量級所需要的 VGS變化量(亞閾值擺幅為柵控源漏電流曲線的的斜率)。
聯系方式:鄒先生
聯系電話:0755-83888366-8022
手機:18123972950
QQ:2880195519
聯系地址:深圳市福田區車公廟天安數碼城天吉大廈CD座5C1
請搜微信公眾號:“KIA半導體”或掃一掃下圖“關注”官方微信公眾號
請“關注”官方微信公眾號:提供 MOS管 技術幫助

